Русский язык и литература. Русский язык 10 класс - Р. Н. Бунеев 2016
Стилистические возможности слов разных частей речи
В шесть лет можно выучиться всем главным языкам, но всю жизнь надобно учиться своему природному. Нам, русским, ещё более труда, нежели другим.
Н. М. Карамзин
Чему можно научиться, занимаясь по данному разделу
I
1. Видеть в речи морфологические синонимы, понимать их смысловые и стилистические возможности.
2. Различать уместное и неуместное употребление в устной и письменной речи морфологических синонимов.
II
3. Анализировать и оценивать свою и чужую речь с точки зрения использования смысловых и стилистических возможностей слов разных частей речи.
4. Применять на практике знание норм употребления морфологических синонимов для совершенствования своей устной и письменной речи.
III
5. Систематизировать и закрепить знания и орфографические умения по темам:
• буквы о, ё, е после шипящих в корнях суффиксах и окончаниях слов разных частей речи;
• правописание частиц, употребление частиц не и ни;
• правописание имён числительных;
• правописание букв гласных в суффиксах глаголов и причастий;
• буквы гласных перед суффиксами глаголов, причастий и деепричастий;
• правописание наречий и наречных выражений;
• правописание предлогов;
• правописание союзов.
6. Выявить и систематизировать индивидуальные правописные затруднения, составить программу их устранения.
Занятие 58 (У)
Тема: выявление уровня готовности к изучению раздела
Проверяемые умения:
1) выбирать и менять вид чтения в зависимости от коммуникативной задачи (гибкость чтения), использовать приёмы просмотрового и ознакомительного чтения;
2) владеть приёмами информационной переработки текста (вычитывать информацию из текста и графика, составлять текст на основе графика).
1. (На выполнение задания отводится 3 — 5 минут).
Просмотрите текст: а) выделите в заглавии ключевые слова; б) спрогнозируйте и запишите тему текста; в) назовите особенности структуры текста; г) определите тему графика; д) уточните тему текста, запишите.
Особенности чтения
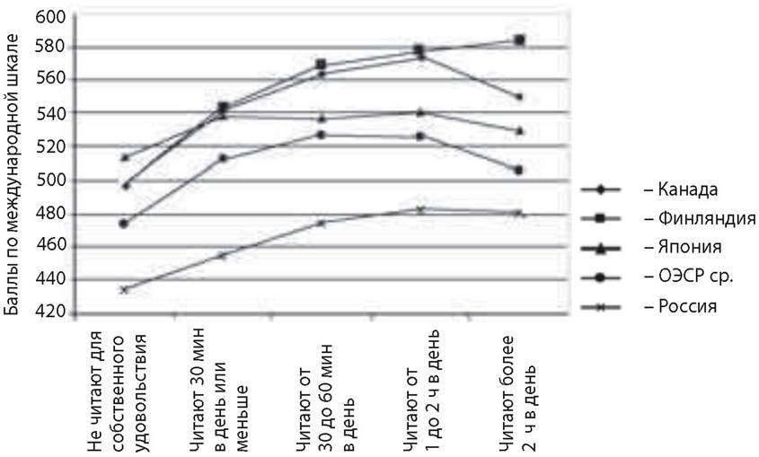
На грамотность чтения учащихся влияют не только навыки чтения, полученные в процессе обучения, но и их отношение, интерес и мотивация к чтению, а также читательский опыт, включающий предпочтения в выборе литературы, время, затрачиваемое на чтение при выполнении домашних заданий с целью получения знаний и на чтение в свободное время для собственного удовольствия в соответствии с личными интересами.
В исследовании PISA были получены данные, характеризующие особенности чтения 15-летних подростков разных стран. Эти данные о российских учащихся по некоторым аспектам значительно отличаются от данных об их сверстниках из других стран.
У учащихся спрашивали, например, сколько времени каждый день они читают для собственного удовольствия (то есть не по необходимости, а по собственному желанию). Им предоставлялся выбор из пяти вариантов ответа от «Я вообще не читаю для собственного удовольствия» до «Более двух часов каждый день». Результаты исследования представлены на графике (с. 244).
Время, которое учащиеся тратят на чтение для собственного удовольствия, и результаты по грамотности чтения.
(По материалам Российской академии образования)

2. Прочитайте текст ознакомительным чтением: а) читайте по абзацам, включая график. Выделите информацию, значимую для раскрытия темы текста, используйте графические пометки; б) укажите, какую информацию вы вычитали (запишите номера нужных предложений).
1) На грамотность чтения влияют различные факторы.
2) На грамотность чтения в первую очередь влияют навыки чтения.
3) У 15-летних подростков проверили грамотность чтения.
4) Результаты российских учащихся и их сверстников разные.
5) Полученные данные характеризуют особенности чтения 15-летних подростков.
6) Читать можно по необходимости и по собственному желанию.
7) Чтение в свободное время для собственного удовольствия не влияет на грамотность чтения.
8) На чтение для собственного удовольствия можно тратить разное количество времени.
9) На грамотность чтения влияет чтение для собственного удовольствия.
• Укажите номера предложений, содержащих наиболее значимую информацию. • Сформулируйте и запишите тему текста, идею (идеи), проблему (проблемы).
3. Составьте и запишите текст, передающий содержание графика.