Грамматика русского языка в упражнениях и комментариях Часть 1 - Морфология 4-е издание - О. И. Глазунова 2007
Имя числительное
Дробные числительные
419. Про читайте предложения. Обратите внимание на числительные, употребляющиеся при обозначении десятичных и простых дробей.
а) 1. В рулоне осталось 1,1 (одна целая одна десятая1) метра ткани. В рулоне осталось 2,2 (две целых две десятых) метра ткани; 2. Население Петербурга возросло до 5,3 (пяти целых трёх десятых) миллиона человек; 3. Если к 0,5 (ноль целым пяти десятым) прибавить 1,6 (одну целую шесть десятых), получится 2,1 (две целых одна десятая): 4. Одна копейка составляет 0,01 (ноль целых одну сотую) часть* рубля; 5. Под 0,125 (ноль целыми ста двадцатью пятью тысячными) мы подразумеваем 0,125 (ноль целых сто двадцать пять тысячных) километра; 6. Этот банк размещает кредиты при 2,5 (двух целых пяти десятых) процента в месяц.
1 В сочетании с числительным один форма женского рода существительного и порядкового числительного определяется существительными женского рода часть или доля: одна целая часть (доля) единицы, одна десятая часть (доля) единицы.
* Существительные часть (доля) в составе дробных числительных имеют тот же падеж, что и числительные.
б) 1. Для приготовления салата потребуется 1 1/2 (одна целая одна вторая) столовой ложки растительного масла и 2/3 (две третьих) чайной ложки соли; 2. Для поступления в институт ему не хватило 1/4 (одной четвёртой) балла; 3. Если пирог разделить на восемь частей, каждый получит по 1/8 (одной восьмой) части пирога; 4. К экзамену я успел прочитать 1/3 (одну третью) часть учебника; 5. Отец разделил дом между мною и моими тремя братьями, соответственно я владею 1/4 (одной четвёртой) частью дома; 6. В 27 (двух целых одной четвёртой) минуты содержится 135 секунд.
! Дробные числительные образуются путём соединения количественных числительных в числителе дроби с порядковыми в знаменателе дроби. При склонении дроби изменяются обе ее части, если они не выражены числительным ‘ноль'.
! Сочетающееся с дробным числительным существительное (за исключением существительных часть и доля) не изменяется но надежам и имеет форму родительного надежа единственного числа.
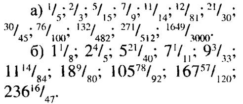
420. Прочитайте числительные.
! В разговорной речи в десятичных дробях слова ноль и целая могут быть опущены: 0,5 (пять десятых); 7,08 (семь и восемь сотых).


С данными числительными составьте словосочетания, используя, если можно, существительные часть или доля.
421. Используя конструкции к чему прибавить что, от чего отнять (из чего вычесть) что, с чем сложить что, произведите арифметические действия над числами.

422. Прочитайте предложения. Выделенные числительные четверть, треть, половина, полтора запишите цифрами.
а) Для приготовления кекса смешайте половину пачки (полпачки) маргарина, 1 яйцо, четверть лимона или апельсина, полторы пачки порошка для приготовления кекса и полтора стакана молока. В качестве начинки используйте треть стакана густого варенья или джема.
! В качестве синонимов дробных числительных в разговорной речи используются слова четверть, треть, половина (пол-), полтора + м. род (полторы + ж. род).
б) 1. Я знаком только с третью сотрудников института; 2. На моих часах без четверти два; 3. Благодаря полутора годам моей работы в институте я приобрёл значительный опыт; 4. В половине случаев из ста этот конфликт можно было разрешить; 5. Полгода он провёл за границей; 6. Я ждал тебя в течение получаса; 7. Они очень довольны полутора годами жизни на острове; 8. Я тебя буду ждать между четвертью и половиной пятого, пожалуйста, не опаздывай; 9. Материалы конференции успели выдать трети её участников; 10. Мы закончим работу в течение полутора недель.
! Четверть, треть и половина изменяются по падежам, как существительные:
Р. п. четверти (трети, половины),
Д. п. четверти (трети, половине),
В. и. четверть (треть, половину),
Т. п. четвертью (третью, половиной),
П. п. четверти (трети, половине). Полтора (полторы) во всех падежах, кроме именительного и винительного, имеют форму полутора.
В косвенных падежах пол- может приобретать форму полу-: полметра, о полуметрах.
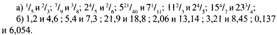
423. Прочитайте предложения. Выделенные словосочетания замените числительными или словосочетаниями с числительными четверть, треть, половина, полтора.
1. Тебе хватит 15 минут, чтобы дойти до лаборатории? 2. 2/3 всех опрошенных высказалась за поддержку президенту; 3. Ты сказал, что банка почти полная, а здесь не хватает 1/4 части; 4. Через 1500 метров будет поворот на Москву; 5. Я буду наблюдать за 1/2 зала справа, а ты — за 1/2 зала слева; 6. По телевидению за игрой футбольных команд наблюдали 1 500 000 болельщиков; 7. В моей группе занимаются 9 студентов, 3 из них приехали из Америки; 8. Закон был принят 3/4 голосов всех депутатов; 9. Я смогу приехать чtрез 90 минут; 10. В передаче говорили о 1500 спортсменах из разных стран мира; 11. Мне повезло, я купил эту вещь за 1/3 (её стоимости; 12. Он остановился в 1,5 метрах от меня и стал ждать; 13. Часы пробили пять часов с 1/4часа; 14. За 3/4 века, которые я живу на земле, многое произошло; 15. Население Москвы приблизительно в 1,5 раза больше населения Петербурга.
424. Прочитайте предложения, обращая внимание на обозначение номеров домов.
1. Квартира одного из основателей Московского Художественного театра В. Немировича-Данченко находится на улице, названной его именем, в доме 5/7; 2. В 30-х годах прошлого столетия А. С. Пушкин жил в угловом доме по адресу Большая Морская улица, дом 26/14; 3. К выдающимся памятникам классицизма относится перестроенный после пожара 1812 года архитектором О. И. Бове дом Гагарина, расположенный на Страстном бульваре, дом 15/29; 4. В стихотворении Н. А. Некрасова “Размышления у парадного подъезда” описан дом № 37/39 по Литейному проспекту; 5. В доме 3/6 по проезду Серова, где жил и работал В. В. Маяковский и где 14 апреля 1930 года трагически оборвалась его жизнь, открыт мемориальный музей; 6. Сложную архитектурную мозаику улицы Богдана Хмельницкого украшают творения знаменитых московских зодчих, среди которых церковь Косьмы и Домиана (дом 14/2), построенная архитектором М. Казаковым в 1791 — 1793 гг.
! Для обозначения угловых домов используется знак дроби: дом 1/3 (дом один дробь три).
425. Прочитайте предложения, обращая внимание на дробные числительные и на общепринятые в русском языке сокращения.
а) К самым высоким зданиям Петербурга относятся: колокольня Петропавловского собора — 122,5 м, здание Московского вокзала — 77.5 м, Адмиралтейская башня — 72.5 м, Казанский собор — 71,6 м.
б) О масштабах Исаакиевского собора можно судить по следующим данным: высота собора — 101,5 м, длина — 111.28 м, ширина — 97,6 м. Снаружи здание окружено 112 монолитными колоннами, из которых 48 украшают гигантские портики. Собор вмещает до 14 000 человек.
в) Пьедесталом для памятника Петру I в Санкт-Петербурге стала гранитная скала длинной 44 фу га (13, 42 м), шириной 22 фута (6,71 м) и высотой 27 футов (8, 24 м). Весил камень около 100 000 пудов (примерно 1600 т).
г) Конструкция фундамента Останкинской башни представляет собой железобетонное кольцо диаметром 70 м, шириной 9,5 м, заложенное всего в 3,5 м под землёй.
! В русском языке используются следующие сокращения: л/ (метр), см (сантиметр), ки (километр); л (грамм), кг (килограмм), т (тонна); сек. (секунда), мин. (минута), ч. (час).